300x250
1. 제목
- 백준 1991 트리 순회
- BOJ 1991 트리 순회
문제 링크 : 1991번: 트리 순회 (acmicpc.net)
2. 문제 설명
트리 순회
| 시간 제한 | 메모리 제한 | 제출 | 정답 | 맞힌 사람 | 정답 비율 |
| 2 초 | 128 MB | 35985 | 23266 | 17704 | 65.893% |
문제
이진 트리를 입력받아 전위 순회(preorder traversal), 중위 순회(inorder traversal), 후위 순회(postorder traversal)한 결과를 출력하는 프로그램을 작성하시오.

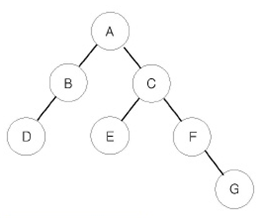
예를 들어 위와 같은 이진 트리가 입력되면,
- 전위 순회한 결과 : ABDCEFG // (루트) (왼쪽 자식) (오른쪽 자식)
- 중위 순회한 결과 : DBAECFG // (왼쪽 자식) (루트) (오른쪽 자식)
- 후위 순회한 결과 : DBEGFCA // (왼쪽 자식) (오른쪽 자식) (루트)
가 된다.
입력
첫째 줄에는 이진 트리의 노드의 개수 N(1 ≤ N ≤ 26)이 주어진다. 둘째 줄부터 N개의 줄에 걸쳐 각 노드와 그의 왼쪽 자식 노드, 오른쪽 자식 노드가 주어진다. 노드의 이름은 A부터 차례대로 알파벳 대문자로 매겨지며, 항상 A가 루트 노드가 된다. 자식 노드가 없는 경우에는 .으로 표현한다.
출력
첫째 줄에 전위 순회, 둘째 줄에 중위 순회, 셋째 줄에 후위 순회한 결과를 출력한다. 각 줄에 N개의 알파벳을 공백 없이 출력하면 된다.
예제 입력 1 복사
7
A B C
B D .
C E F
E . .
F . G
D . .
G . .
예제 출력 1 복사
ABDCEFG
DBAECFG
DBEGFCA
3. 풀이 과정
C++에서 제공하는 map(key, value)형태의 자료구조로 트리를 구현해서 풀어봤어요.
4. 함수 설명
preOreder(), inOrder, postOreder() 세함수 모두 재귀호출로 작동하며 출력순서만 차이가 있어요.
출력순서 = 데이터를 처리하는 순서
5. 코드
#pragma warning(disable:4996)
#include <iostream>
#include <map>
using namespace std;
struct Node
{
char left;
char right;
};
// 맵으로 트리 구현
map<char, Node> m;
// 전위 순회
void preOrder(char node)
{
// root - left - right
if (node == '.') return;
printf("%c", node);
preOrder(m[node].left);
preOrder(m[node].right);
}
// 중위 순회
void inOrder(char node)
{
// left - root - right
if (node == '.') return;
inOrder(m[node].left);
printf("%c", node);
inOrder(m[node].right);
}
// 후위 순회
void postOrder(char node)
{
// left - right - root
if (node == '.') return;
postOrder(m[node].left);
postOrder(m[node].right);
printf("%c", node);
}
int main()
{
int n;
scanf("%d", &n);
char node, left, right;
// 트리 입력받기
for (int i = 0; i < n; i++)
{
cin >> node >> left >> right;
m[node].left = left;
m[node].right = right;
// m.insert({ node, {left, right} }); 위와 같다.
}
preOrder('A');
printf("\n");
inOrder('A');
printf("\n");
postOrder('A');
return 0;
}300x250
'<C++ 백준 BOJ> > BFS_DFS' 카테고리의 다른 글
| [백준 BOJ1743] 음식물 피하기 (C++) (0) | 2022.08.28 |
|---|---|
| [백준 BOJ11403] 경로 찾기 (C++) (0) | 2022.08.21 |
| [백준 BOJ2468] 안전 영역 (C++) (0) | 2022.08.21 |
| [백준 BOJ7576] 토마토 [BFS 사용](C++) (0) | 2022.08.06 |
| [백준 BOJ1012] 유기농 배추 [Stack, Queue 사용](C++) (0) | 2022.08.02 |